X
Zamknij
Rozmiar czcionki
A-
A+
Ustawienia startowe
Wysoki kontrast
Wersja tekstowa
Toggle navigation
Aktualności
Ważne strony
Lista jednostek nieodpłatnego poradnictwa
Budowa sieci kanalizacji sanitarnej, rozbudowa i przebudowa sieci wodociągowej dla miejscowości Cieciorka, Dąbrowa, Iwiczno wraz z rozbudową oczyszczalni ścieków w Kaliskach
Innowacyjna edukacja – wzmacnianie kompetencji kluczowych uczniów szkół podstawowych i gimnazjum w gminie Kaliska
Pełnomocnik Wójta
Harmonogram wynajmu świetlic wiejskich
Czas pracy urzędu
Rozkład Jazdy PKP/PKS
Dokumenty i wnioski do pobrania
Dydaktyczna ścieżka leśna w Bartlu Wielkim
Zobacz wszystkie
Aktualności
2025-12-30
Informacja o przestrzeganiu przepisów dot. używania wyrobów pirotechnicznych
2025-12-29
Zmiana czasu pracy – 31 grudnia 2025 r.
2025-12-23
Życzenia Świąteczne
Zobacz wszystkie
Komunikaty
2025-06-23
Zapytanie ofertowe nr 2/2025 na przeprowadzenie prac konserwatorskich, restauratorskich oraz robót budowlanych w ramach inwestycji pn.: „Prace konserwatorskie, restauratorskie i roboty budowlane przy Kościele w Płocicznie''
2025-04-18
Zapytanie ofertowe na przeprowadzenie prac konserwatorskich, restauratorskich oraz robót budowlanych w ramach inwestycji pn.: „Prace konserwatorskie, restauratorskie i roboty budowlane przy Kościele w Płocicznie''
2024-08-22
Nowe stawki opłaty za gospodarowanie odpadami komunalnymi od 1 września 2024 roku.
Zobacz wszystkie
TV
Samorząd
Ważne strony
Historia Gminy Kaliska
Projekty współfinansowane ze środków Unii Europejskiej 2007-2013
Młodzieżowa Rada Gminy
Rada Gminy Kaliska
Sołectwa
Urząd Gminy Kaliska
Wójt Gminy Kaliska
Aktualności
2025-12-02
Zaproszenie na XXIII Sesję Rady Gminy Kaliska
2025-11-06
Zaproszenie na posiedzenie Komisji Rewizyjnej
2025-10-15
Zaproszenie na Komisję Budżetu, Edukacji, Kultury i Spraw Społecznych
Zobacz wszystkie
Komunikaty
2022-05-02
Ogłoszenie w sprawie składania deklaracji dotyczących źródeł ciepła i spalania paliw w ramach Centralnej Ewidencji Emisyjności Budynków
2015-08-25
Przewodniczący Rady Gminy Kaliska Zbigniew Szarafin zaprasza na X Sesję Rady Gminy Kaliska
2012-12-07
W dniu 6 grudnia 2012 roku odbyła się I Sesja Młodzieżowej Rady Gminy Kaliska w kadencji 2012-2014
Zobacz wszystkie
Kultura
Gminny Program Opieki nad Zabytkami i Gminna Ewidencja Zabytków
Kalendarz imprez 2020
Kapliczki
Gminny Ośrodek Kultury w Kaliskach
Biblioteka
Izba Pamięci Izydora Gulgowskiego w Iwicznie
Aktualności
2018-10-25
KOCIEWIE na największych targach turystycznych w kraju
2018-08-06
Gdańsk był bardzo kociewski
2018-08-01
Zaproszenie na wystawę Kociewie ART – kulturalna wizytówka Regionu
2018-04-20
Informacja ze spotkania Kół Gospodyń Wiejskich
2018-04-09
Kociewie na gdańskich targach turystycznych
2017-06-28
Razem stwórzmy kolekcję Muzeum Historii Polski!
Zobacz wszystkie
Biznes
Informator inwestycyjny
Działki na sprzedaż
Podatki
Obsługa inwestora
Kaliski Obszar Przedsiębiorczości
Szkolenia dla mieszkańców
Zobacz wszystkie
Aktualności
2020-07-23
Rusza konkurs grantowy dla firm z Pomorza
2019-07-25
Wsparcie inwestycyjne dla przedsiębiorców w ramach Pomorskiej Specjalnej Strefy Ekonomicznej
2019-01-18
Punkt kontaktowy biznes.gov.pl
Zobacz wszystkie
Komunikaty
2022-01-14
Informacja dla przedsiębiorców sprzedających napoje alkoholowe na terenie Gminy Kaliska w sprawie składania oświadczeń o wartości sprzedaży w 2021 r.
2015-12-08
Wójt Gminy Kaliska ogłasza przetargi na zbycie nieruchomości gruntowych
2015-08-03
Wójt Gminy Kaliska ogłasza przetargi na sprzedaż nieruchomości gruntowych
Zobacz wszystkie
Sport i Turystyka
Informator turystyczny
Agroturystyka
Miejscowości Gminy Kaliska
Historia Gminy Kaliska
Baza sportowa
Bartel Wielki - noclegi
VICTORIA KALISKA
Informacja turystyczna
Kaliska na mapie
Zobacz wszystkie
Aktualności
2020-07-31
Święto Kociewia w Gdańsku
2020-07-09
6. Powiślańsko-Kociewski Rajd Rowerowy znów połączy regiony.
2020-06-17
Zalecenia GIS - korzystanie z kąpielisk w trakcie epidemii
Zobacz wszystkie
Komunikaty
2016-04-27
Już w weekend zapraszamy na Kociewsko-Kaszubski Rajd Rowerowy. Start i zakończenie w Kaliskach!
2015-01-19
Konkurs na opracowanie Eko Szlaków- rozstrzygnięty!
2013-07-24
Spływ kajakowy i rajd rowerowy z LOT KOCIEWIE
Zobacz wszystkie
Kaliski Goniec
Kaliski Goniec lista wydań
Kaliski Goniec 2025 (167)
Kaliski Goniec 2025 (166)
Kaliski Goniec 2025 (165)
Kaliski Goniec 2025 (164)
Kaliski Goniec 2025 (163)
Kaliski Goniec 2025 (162)
Kaliski Goniec 2025 (161)
Kaliski Goniec 2025 (160)
Kaliski Goniec 2025 (159)
Kaliski Goniec 2025(158)
Kaliski Goniec 2025 (157)
Kaliski Goniec 2024 (156)
Kaliski Goniec (2024) 155
Kaliski Goniec (2024) 154
Kaliski Goniec (2024) 153
Kaliski Goniec (2024) 152
Kaliski Goniec (2024) 151
Kaliski Goniec (2024) 150
Kaliski Goniec (2024) 149
Kaliski Goniec (2024) 148
Kaliski Goniec (2024) 147
Kaliski Goniec (2024) 146
Kaliski Goniec (2024) 145
Kaliski Goniec (2023) 144
Kaliski Goniec (2023) 143
Kaliski Goniec (2023) 142
Kaliski Goniec (2023) 141
Kaliski Goniec (2023) 140
Kaliski Goniec (2023) 139
Kaliski Goniec (2023) 138
Kaliski Goniec (2023) 137
Kaliski Goniec (2023) 136
Kaliski Goniec (2023) 135
Kaliski Goniec (2023) 134
Kaliski Goniec (2023) 133
Kaliski Goniec (2022) 132
Kaliski Goniec (2022) 131
Kaliski Goniec (2022) 130
Kaliski Goniec (2022) 129
Kaliski Goniec (2022) 128
Pełne archiwum wydań
Zdjęcia
Kaliska na Facebook-u
Program „Czyste Powietrze”
Biuletyn informacji publicznej
Ochrona danych osobowych
Deklaracja dostępności
Transmisje z obrad Rady Gminy
eSesja Portal Mieszkańca
Narodowy Spis Powszechny 2021
EBOK- Woda
PSZOK
Materiały do ponownego wykorzystania
Centralna Ewidencja Emisyjności Budynków
A / Informator dla właścicieli i zarządców budynków dotyczący Centralnej Ewidencji Emisyjności Budynków
B / Informacja o obowiązku składania deklaracji do Centralnej Ewidencji Emisyjności Budynków
1 / Formularz A – budynki i lokale mieszkalne
2 / Formularz B – budynki i lokale niemieszkalne
Pomorska Specjalna Strefa Ekonomiczna
Plany Polowań
Fotowoltaika w Gminie Kaliska
Jakość powietrza
Wojewódzki Fundusz Ochrony Środowiska i Gospodarki Wodnej
System Informacji Przestrzennej
Konsultacje Społeczne
kaliska.e-mapa.net
Gospodarka Odpadami
Biuro Obsługi Klienta
Harmonogramy Odbioru Odpadów Komunalnych na 2025 rok
Stawki za odpady komunalne
Informacja dotycząca selektywnego zbierania odpadów komunalnych
Informacja o osiągniętych poziomach odzysku
Program bezpłatnych kompostowników
Rejestr działalności Regulowanej
Wzory deklaracji
Zasady segregacji odpadów komunalnych
Skrzynka podawcza
Zespół Szkół Publicznych
Gminny Ośrodek Kultury w Kaliskach
Środowiskowy Dom Samopomocy w Kaliskach
Gminny Ośrodek Pomocy Społecznej w Kaliskach
Cmentarz komunalny
Pomoc głuchoniemym
Informacje dla uchodźców z Ukrainy / Інформація для біженців з України
Podstawowa Opieka Zdrowotna w Polsce
Wsparcie wolontariuszy Pomoc w punktach recepcyjnych
Poradnik dla osób przyjmujących uchodźców z Ukrainy
Nieodpłatna pomoc prawna dla Ukraińców
Zielona karta dla obywateli Ukrainy wjeżdzjących na teren Polski
Wsparcie Urzędów Pracy dla obywateli Ukrainy
Punkt Recepcyjny
Bezpłatna Infolinia w języku ukraińskim
Informacje na temat prób wykorzystania uchodźców do pracy przymusowej lub innych form wyzysku w pracy lub usług seksualnych czy też innych przypadków niegodziwego traktowania.
Infolinia dla głuchych z Ukrainy
PESEL dla uchodźców z Ukrainy
Wsparcie finansowe dla obywateli Ukrainy którzy mają pod opiekę dziecko
Informacja dla osób przemieszczających się z Ukrainy ze zwierzętami towarzyszącymi
Informacja o uruchomieniu infolinii telefonicznej w sprawie świadczeń rodzinnych dla obywateli Ukrainy
Jak wspierać przyjmowanych uchodźców/ jak doradzać rodzinom przyjmującym uchodźców
Dyżur w ZUS dla obywateli Ukrainy sobota 26.03.2022 r.
Oferty w zakresie przyjmowania uchodźców z Ukrainy
Jak segregować odpady? як розділяти відходи?
Możliwość wyjazdu uchodźców z Ukrainy do Wielkiej Brytanii
Bezpłatny Portal prawny dla osób uciekających z Ukrainy
Inicjatywa wsparcia obywateli Ukrainy będących nauczycielami poprzez przygotowanie ich do pracy w polskim systemie oświaty.
Koordynatorzy bezpłatnej pomocy prawnej dla obywateli Ukrainy
Projekty unijne 2007-2013
Projekty unijne 2014-2020
Cyberbezpieczny Samorząd
Program Rozwoju Obszarów Wiejskich na lata 2014-2020
Fundusze Europejskie dla Pomorza 2021-2027
Rządowy Fundusz Polski Ład
II Edycja
I Edycja
III Edycja
VIII Edycja
Pozostałe projekty
Nowe podłogi w ZSP Kaliska
Środowiskowy Dom Samopomocy w Kaliskach
Kompleks boisk „ORLIK” w Kaliskach
Remont Gminnego Ośrodka Kultury
Plac zabaw przy ZSP Kaliska
Plac zabaw przy ZOW Piece
Budowa ulicy Cichej w Kaliskach
Remont mostu w Czubku
Budowa placu zabaw wraz z ogrodzeniem na terenie ORiIS w Bartlu Wielkim
Bezpieczeństwo
Straż pożarna
Policja
Służba zdrowia
Zarządzanie kryzysowe
Baza organizacji
Należymy do organizacji
Honorowi obywatele Gminy Kaliska
Laureaci Kaliskich Słoneczników
Koło emerytów
Miasto partnerskie Reinfeld
BIZNES.GOV.PL
Wrota Pomorza
Dziennik Ustaw
Monitor Polski
Starostwo Powiatowe w Starogardzie Gdańskim
Powiatowy Urząd Pracy w Starogardzie Gdańskim
Pomorski Urząd Wojewódzki w Gdańsku
Nadleśnictwo Kaliska
Pokaż pozostałe bannery
Deklaracja dostępności
System Informacji Przestrzennej
Interpelacje i Zapytania
Biznes
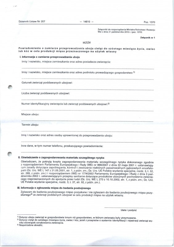
Ulotka dla hodowców utrzymujących świnie
Data publikacji: 2012-05-31,
Program „Czyste Powietrze”
Biuletyn informacji publicznej
Ochrona danych osobowych
Deklaracja dostępności
Transmisje z obrad Rady Gminy
eSesja Portal Mieszkańca
Narodowy Spis Powszechny 2021
EBOK- Woda
PSZOK
Materiały do ponownego wykorzystania
Centralna Ewidencja Emisyjności Budynków
A / Informator dla właścicieli i zarządców budynków dotyczący Centralnej Ewidencji Emisyjności Budynków
B / Informacja o obowiązku składania deklaracji do Centralnej Ewidencji Emisyjności Budynków
1 / Formularz A – budynki i lokale mieszkalne
2 / Formularz B – budynki i lokale niemieszkalne
Pomorska Specjalna Strefa Ekonomiczna
Plany Polowań
Fotowoltaika w Gminie Kaliska
Jakość powietrza
Wojewódzki Fundusz Ochrony Środowiska i Gospodarki Wodnej
System Informacji Przestrzennej
Konsultacje Społeczne
kaliska.e-mapa.net
Gospodarka Odpadami
Biuro Obsługi Klienta
Harmonogramy Odbioru Odpadów Komunalnych na 2025 rok
Stawki za odpady komunalne
Informacja dotycząca selektywnego zbierania odpadów komunalnych
Informacja o osiągniętych poziomach odzysku
Program bezpłatnych kompostowników
Rejestr działalności Regulowanej
Wzory deklaracji
Zasady segregacji odpadów komunalnych
Skrzynka podawcza
Zespół Szkół Publicznych
Gminny Ośrodek Kultury w Kaliskach
Środowiskowy Dom Samopomocy w Kaliskach
Gminny Ośrodek Pomocy Społecznej w Kaliskach
Cmentarz komunalny
Pomoc głuchoniemym
Informacje dla uchodźców z Ukrainy / Інформація для біженців з України
Podstawowa Opieka Zdrowotna w Polsce
Wsparcie wolontariuszy Pomoc w punktach recepcyjnych
Poradnik dla osób przyjmujących uchodźców z Ukrainy
Nieodpłatna pomoc prawna dla Ukraińców
Zielona karta dla obywateli Ukrainy wjeżdzjących na teren Polski
Wsparcie Urzędów Pracy dla obywateli Ukrainy
Punkt Recepcyjny
Bezpłatna Infolinia w języku ukraińskim
Informacje na temat prób wykorzystania uchodźców do pracy przymusowej lub innych form wyzysku w pracy lub usług seksualnych czy też innych przypadków niegodziwego traktowania.
Infolinia dla głuchych z Ukrainy
PESEL dla uchodźców z Ukrainy
Wsparcie finansowe dla obywateli Ukrainy którzy mają pod opiekę dziecko
Informacja dla osób przemieszczających się z Ukrainy ze zwierzętami towarzyszącymi
Informacja o uruchomieniu infolinii telefonicznej w sprawie świadczeń rodzinnych dla obywateli Ukrainy
Jak wspierać przyjmowanych uchodźców/ jak doradzać rodzinom przyjmującym uchodźców
Dyżur w ZUS dla obywateli Ukrainy sobota 26.03.2022 r.
Oferty w zakresie przyjmowania uchodźców z Ukrainy
Jak segregować odpady? як розділяти відходи?
Możliwość wyjazdu uchodźców z Ukrainy do Wielkiej Brytanii
Bezpłatny Portal prawny dla osób uciekających z Ukrainy
Inicjatywa wsparcia obywateli Ukrainy będących nauczycielami poprzez przygotowanie ich do pracy w polskim systemie oświaty.
Koordynatorzy bezpłatnej pomocy prawnej dla obywateli Ukrainy
Projekty unijne 2007-2013
Projekty unijne 2014-2020
Cyberbezpieczny Samorząd
Program Rozwoju Obszarów Wiejskich na lata 2014-2020
Fundusze Europejskie dla Pomorza 2021-2027
Rządowy Fundusz Polski Ład
II Edycja
I Edycja
III Edycja
VIII Edycja
Pozostałe projekty
Nowe podłogi w ZSP Kaliska
Środowiskowy Dom Samopomocy w Kaliskach
Kompleks boisk „ORLIK” w Kaliskach
Remont Gminnego Ośrodka Kultury
Plac zabaw przy ZSP Kaliska
Plac zabaw przy ZOW Piece
Budowa ulicy Cichej w Kaliskach
Remont mostu w Czubku
Budowa placu zabaw wraz z ogrodzeniem na terenie ORiIS w Bartlu Wielkim
Bezpieczeństwo
Straż pożarna
Policja
Służba zdrowia
Zarządzanie kryzysowe
Baza organizacji
Należymy do organizacji
Honorowi obywatele Gminy Kaliska
Laureaci Kaliskich Słoneczników
Koło emerytów
Miasto partnerskie Reinfeld
BIZNES.GOV.PL
Wrota Pomorza
Dziennik Ustaw
Monitor Polski
Starostwo Powiatowe w Starogardzie Gdańskim
Powiatowy Urząd Pracy w Starogardzie Gdańskim
Pomorski Urząd Wojewódzki w Gdańsku
Nadleśnictwo Kaliska
Pokaż pozostałe bannery
Deklaracja dostępności
System Informacji Przestrzennej
Interpelacje i Zapytania